基于Hilbert-Huang 变换的大地电磁去噪研究
陈钧, 严良俊, 周磊

Denoising of magnetotelluric data based on Hilbert-Huang transform
CHEN Jun, YAN Liang-Jun, ZHOU Lei
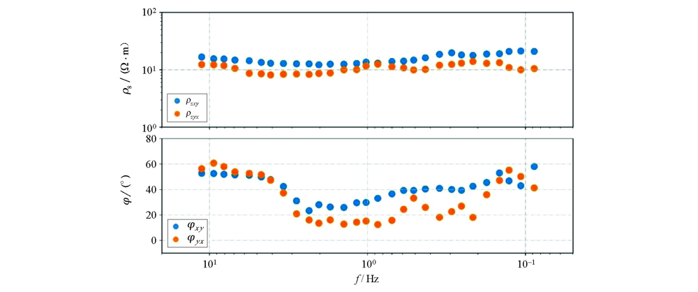
图8 去噪之后重新计算的视电阻率和相位
Fig.8 Recalculated apparent resistivity and phase after denoising