广西马山县岩溶区土壤硒含量分布及影响因素研究 |
| 张春来, 杨慧, 黄芬, 曹建华 |
|
Distribution and influencing factors of selenium content in soil in karst areas in Mashan County, Guangxi, China |
| ZHANG Chun-Lai, YANG Hui, Huang Fen, CAO Jian-Hua |
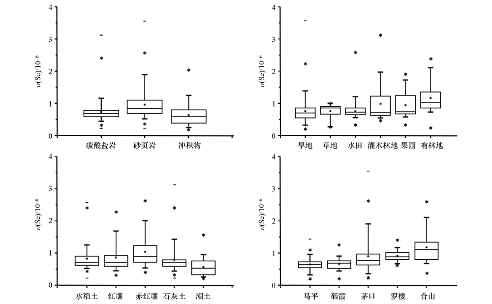
| 图3 不同类型样品土壤硒含量箱型图 |
| Fig.3 Box diagram of soil selenium content in different types of samples |
|