双树复小波变换在川藏铁路拉林段某隧道超前地质预报中的应用 |
| 杨丹, 李伟, 魏永梁, 宋斌 |
|
Application of dual-tree complex wavelet transform in advanced geological prediction of the tunnel section in Lalin of Sichuan-Tibet Railway |
| YANG Dan, LI Wei, WEI Yong-Liang, SONG Bin |
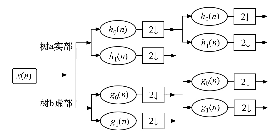
| 图2 双树复小波结构示意 |
| Fig.2 dual-tree complex wavelet structure diagram |
|