地质体形状对逐层优化正则化下延成像的影响研究 |
| 文百红, 胡庆辉, 张连群 |
|
Affect of configuration parameters of geobody on regularization downward continuation imaging by successive layer optimization |
| WEN Bai-Hong, HU Qing-Hui, ZHANG Lian-Qun |
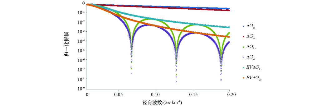
| 图1 典型形体重力异常中心剖面振幅谱特征 |
| Fig.1 Amplitude spectral characteristics of gravity anomalies for 4 typical geometrical configurations |
|