江南造山带中段巨型花岗岩型锂矿集区水系沉积物异常信息提取 |
| 刘爽, 卢亚鑫, 周雪桂, 吴俊华, 冯佳鑫, 李艳军 |
|
Extraction of geochemical anomalies from stream sediments in the giant granite-hosted lithium ore cluster within the middle segment of the Jiangnan Orogen |
| LIU Shuang, LU Ya-Xin, ZHOU Xue-Gui, WU Jun-Hua, FENG Jia-Xin, LI Yan-Jun |
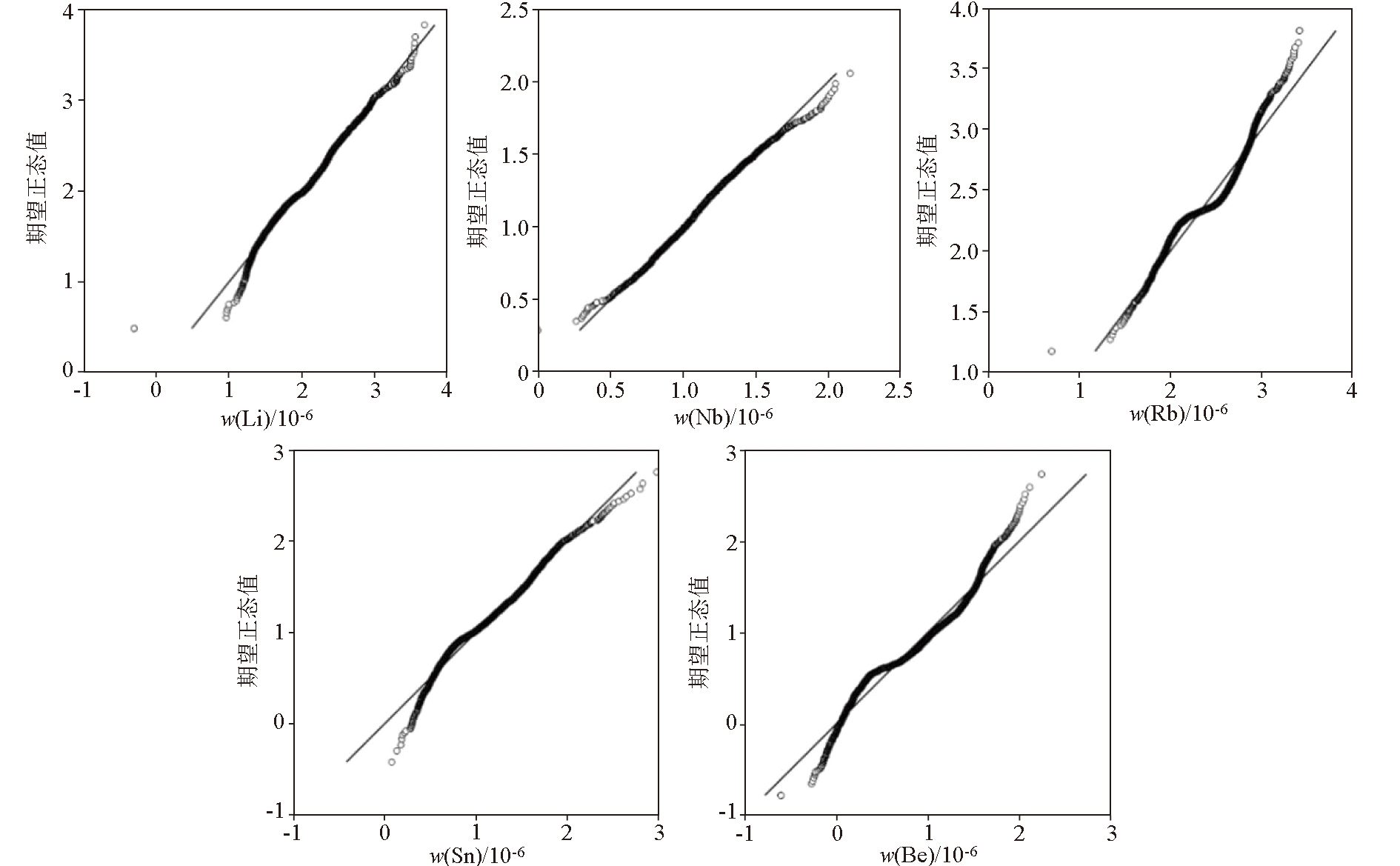
| 图2 宜丰—奉新地区水系沉积物测量各元素含量Q-Q概率 |
| Fig.2 The Q-Q probability graph of elements in stream sediments in the Yifeng-Fengxin area |
|